
Soal pilihan ganda kelistrikan IPA Kelas 9 Bab 2
Pilihlah Jawaban Yang tepat dan benar!
1. Diketahui muatan listrik Q1 positif dan Q2 negatif :
(1) muatan Q1 menarik muatan Q2
(2) gaya coulomb sebanding dengan Q1 dan Q2
(3) gaya coulomb berbanding terbalik dengan kuadrat jarak antara Q1 dan Q2
(4) kuat medan listrik di tengah-tengah antara Q1 dan Q2 nol
yang benar adalah ….
a. 1, 2, 3 dan 4
b. 1, 2 dan 3
c. 1 dan 3
d. 2 dan 4
Jawaban : B
Pembahasan
Q1 = +q
Q2 = – q
Persamaan umum
F = k Q1Q2 / r²
Muatan Q1 yang positif menarik muatan Q2
Gaya coulumb (F) sebanding dengan Q1 dan Q2
Gaya coulum (F) berbanding terbalik dengan kuadrat jarak (r²) antara Q1 dan Q2
Kuat medan listrik ditengah2 bernilai tidak sama dengab nol.
Jawabannya 1, 2, dan 3
2. Dua muatan titik yang sejenis dan sama besar qA = qB =10 –2C pada jarak10 cm satu dari yang lain. Gaya tolak yang dialami kedua muatan itu (dalam Newton) adalah ….
a. 9.10–14
b. 9.10–9
c. 9.10–5
d. 9.107
Jawaban : D
Pembahasan :

3. Sebuah benda bermassa 20 gram dan bermuatan q = + 0,5 μC digantungkan pada seutas tali ringan yang massanya dapat diabaikan.
Tepat di sebelah kanan benda pada jarak 15 cm diletakkan muatan q’ = -1 μC yang menyebabkan posisi benda menjadi seperti gambar di bawah. Jika g = 10 ms–2dan k = 9.109 Nm²C, tegangan pada tali dekat pada harga (dalam newton )

Listrik Statis no 3
a. 0,20
b. 0,24
c. 0,28
d. 0,32
Jawaban : C
Pembahasan :

Listrik Statis no 3-1
4. Kuat medan listrik yang ditimbulkan oleh muatan listrik pada sebuah titik bergantung pada :
(1) besarnya muatan
(2) jaraknya dari muatan
(3) jenis muatan
(4) jenis medium antara muatan dan titik
yang benar adalah ….
a. 1, 2, 3 dan 4
b. 1, 2 dan 3
c. 1 dan 3
d. 2 dan 4
Jawaban : A
Pembahasan :
Rumus Kuat Medan Listrik (E)
E = k q/r²
jadi bergantung pada:
q atau muatan listriknya, besar dan jenis muatannya
dan
r² = kuadrat jarak antar muatan
5. Dua muatan titik berjarak 5 cm terlihat seperti gambar.

Besar medan listrik di titik P adalah….
a. 27 N/C
b. 72 N/C
c. 270 N/C
d. 360 N/C
Jawaban : C
Pembahasan :

6. Sebuah partikel bermassa 0,3 gr diikat dengan benang tak bermassa. Kemudian dimasukkan ke dalam daerah bermedan listrik 500 N/C dan digantungkan ternyata membentuk sudut seperti pada gambar di bawah. Keadaan ini bisa terjadi apabila partikel itu bermuatan (dalam μC) sebesar
a. 1
b. 3
c. 3√ 2
d. 6√ 2
Jawaban : D
Pembahasan :

7. Dua buah partikel A dan B masingmasing bermuatan +20 μC dan +45 μC terpisah dengan jarak 15 cm. Jika C adalah titik yang terletak di antara A dan B sedemikian sehingga kuat medan di C sama dengan nol. letak C dari A (dalam cm) adalah….
a. 2
b. 3
c. 4
d. 6
Jawaban : D
Pembahasan :

8. Pada setiap titik sudut sebuah segi tiga sama sisi dengan sisi 2√3 terdapat muatan positif q coloumb. Kuat medan dan potensial listrik di pusat segitiga ini, dengan k sebagai tetapan, berturut-turut adalah?
a. 1/2 k q dan 0
b. 1/2 k q dan 3/2 k q
c. 2/3 k q dan 3/2 k q
d. 0 dan 3/2 k q
Jawaban : D
Pembahasan :
Jarak O ke A = Jarak O ke B = Jarak O ke C = 2 satuan panjang. Akibatnya Medan Magnet yang ditumbulkan sama besar dan resultan medan magnet oleh ke-3 muatan tsb akan saling meniadakan sehingga dapat dituliskan :
Eₒ = 0
Karena Potensial Listrik adalah besaran skalar , maka kita cukup menjumlahkan saja besar potensial listrik yg ditimbulkan oleh setiap muatan. Karena muatan dan jaraknya sama, kita coba hitung saja dulu satu muatan (a)
Vₒₐ = kqₐ/rₒₐ
= kq/2
Maka :
Vₒ = 3(kq/2)
= ³/₂ (kq/r)
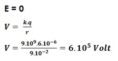
9. Sebuah bola konduktor berjari – jari 9 cm diberi muatan 6 mC. Besar kuat medan listrik dan potensial listrik pada titik yang berjarak 3 cm dari pusat bola adalah ….
a. sama – sama nol
b. E = nol, V = 6. 105volt
c. E = 6. 107N/C, V = nol
d. E = 6. 107N/C, V = 6. 105volt
Jawaban : B
Pembahasan :
10. Sebuah bola konduktor diberi muatan Q = 3 μC. Diameter bola 20 cm. Jika muatan kecil q = 2 μC ingin dipindahkan dari permukaan bola ke titik yang berjarak 5 cm dari pusat bola maka diperlukan usaha sebesar….
a. 2500 joule
b. 1300 joule
c. 500 joule
d. nol
Jawaban : D
11. Dua keping logam yang sejajar dan jaraknya 0,5 cm satudari yang lain diberi muatan listrik yang berlawanan hingga beda potensial 10000 Volt. Bila muatan elektron adalah 1,6 x 10-19 C maka besar dan arah gaya coulomb pada sebuah elektron yang ada diantara kedua keping adalah .…
a. 0,8 x 10-7 N ke atas
b. 0,8 x 10-7 N ke bawah
c. 3,2 x 10-13 N ke atas
d. 3,2 x 10-13 N ke bawah
Jawaban : C
w = F . S
W = ΔEp
F.S = V.q
F.r = V.q
F.0,5.10-2 = 10000. 1,6.10-19
F = 3,2 . 10-13 N keatas karena muatan positif
12. Sebuah elektron (muatan –1,6 x 10-19 C) bergerak dari suatu titik dalam ruang ke titik lain yang potensialnya1 V lebih tinggi. Energi kinetik yang diperoleh elektron dalam perpindahan kedudukan itu dapat dinyatakan sebagai..
(1) 1,6 x 10-19 Joule
(2) 1 elektron volt
(3) 1,6 x 10-19 coulomb volt
(4) 1 volt ampere
yang benar adalah ….
a. 1, 2, 3 dan 4
b. 1, 2 dan 3
c. 1 dan 3
d. 2 dan 4
Jawaban : B
w = F.S
W = ΔEk
Jadi : 1, 2, 3 benar
13. Sebuah elektron dengan massa 9,11×10 –31kg dan muatan listrik –1,6 x10-19 C, lepas dari katode menuju ke anode yang jaraknya 2 cm. Jika kecepatan awal elektron 0 dan beda potensial antara anode dan katode 200 V, maka elektron akan sampai dianode dengan kecepatan ….
a. 2,3 x 105m/s
b. 8,4 x 106m/s
c. 2,3 x 107m/s
d. 3 x 107m/s
Jawaban : B
Pembahasan :
W = V.q
W = ΔEk
V.q = ΔEk
200.1,6.10-19 = ½ m. V2
3,2.10-17 = ½ . 9,11.10-31 . v2
V = 8,4 . 106
14. Kapasitas kapasitor dapat diperkecil dengan cara-cara sebagai berikut ….
(1) ruang antar lempeng diisi minyak
(2) dengan pasangan seri beberapa kapasitor
(3) jarak kedua lempeng diperkecil
(4) luas lempengnya diperkecil.
yang benar adalah ….
a. 1, 2, 3 dan 4
b. 1, 2 dan 3
c. 1 dan 3
d. 2 dan 4
Jawaban : D
15. Tiga buah kapasitor identik yang mula-mula belum bermuatan akan dihu-bungkan dengan baterai 15 V.
Bila hanya salah satunya saja yang dihubungkan dengan baterai 15 V tersebut, energi yang tersimpan dalam kapasitor adalah 3/2E. Energi yang akan tersimpan bila ketiga kapasitor tadi dihubungkan seri dengan baterai adalah ….
a. ¼ E
b. ½ E
c. E
d. 2 E
Jawaban : B
cseri = 1/3 C
E2 = 1/3 . 3/2 E
E2 = ½ E
16. Tiga kapasitor A, B, dan C masing-masing berkapasitas 4F, 6F, dan 12F disusun seri kemudian dihubungkan dengan tegangan 90V. Apabila muatan listrik masing-masing kapasitor qA, qB, dan qC maka …
a. qC = 3 x qA
b. qA<qB<qC
c. qB = 0
d. qA = qB = qC
Jawaban : D
17. Tiga buah kapasitor masing-masing 6 μF, 12 μF dan 4 μF dirangkai seri kemudian dihubungkan dengan sumber tegangan 8 volt. Tegangan pada kapasitor 4 μF dalah .…
a. 8,0 volt
b. 4,0 volt
c. 2,0 volt
d. 1,5 volt
Jawaban : B
Pembahasan :

18. Dua kapasitor dengan kapasitas C1 = 30 pF dan C2 = 60 pF dihubungkan seri, lalu dipasang pada tegangan listrik 100 V, seperti pada gambar. Bila muatan listrik dan beda potensial pada masing-masing kapasitor adalah : Q1, Q2, V1 dan V2 maka….
(1). Q1 = 2 x 10-9 C
(2). Q2 = 2 x 10-9 C
(3). V1 = 66,7 V
(4). V2 = 33,3 V
pernyataan yang benar adalah ….
a. 1, 2, 3 dan 4
b. 1, 2 dan 3
c. 1 dan 3
d. 2 dan 4
Jawaban : A
1,2 ,3, 4 benar
20. Sebuah kapasitor dengan kapasitansi 2.10-5F yang pernah dihubungkan untuk beberapa saat lamanya pada beda potensial 500 V. Kedua ujungnya dihubungkan dengan ujung-ujung sebuah kapasitor lain dengan kapasitansinya 3.10-5 F yang tidak bermuatan. Energi yang tersimpan di dalam kedua kapasitor adalah ….
a. 0,25 J
b. 0,50 J
c. 1,00 J
d. 1,25 J
Jawaban : D
Pembahasan :
E = ½ C V2
E = ½ 5.10-5 5002
E = 1,25 Joule
SOAL ESSAY KELISTRIKAN IPA KELAS 9 BAB 2
Jawablah pertanyaan dibawah ini !
1. Air dapat dimasak menggunakan pemanas air dengan spesifikasi 250 watt. Air yang akan dimasak memiliki berat 1 kg dengan suhu 35°C. Apabila air memiliki besar kalor jenis 4200 J/kg°C. Maka hitunglah waktu yang dibutuhkan sampai suhu air mencapai 110°C?
Pembahasan.
Diketahui : P = 250 watt; m = 1 kg; ΔT = 110 - 35 = 75°C; c = 4200 J/kg°C
Ditanyakan : t = ?
Jawab.
P x t = m x c x ΔT
250 x t = 1 x 4200 x 75
250t = 315000
t = 315000/250
t = 1260 detik
t = 1260/60 menit
t = 21 menit
Jadi waktu yang dibutuhkan sampai suhu air mencapai 110°C ialah 21 menit.
2. Perhatikan gambar dibawah ini!
Tentukan aliran arus listrik yang terdapat pada hambatan R2?
Pembahasan.
Diketahui : R1 = 1 Ω; R2 = 3 Ω; R3 = 9 Ω; V = 8 V
Ditanyakan : I2 = ?
Jawab.
Contoh soal listrik dinamis kelas 12 ini dapat diselesaikan dengan mencari jumlah total hambatannya terlebih dahulu. Untuk melakukannya dapat menggunakan langkah langkah seperti di bawah ini:
1/Rp = 1/R2 + 1/R3
= 1/3 + 1/9
= 3/9 + 1/9
= 4/9
Rp = 9/4 Ω
Hambatan Total (Rt) = R1 + Rp
= 1 + 9/4
= 13/4 Ω
Langkah berikutnya yaitu mencari arus totalnya dengan hukum Ohm seperti di bawah ini:
I = V/Rt
= 8/(13/4)
= 32/13 A
Langkah terakhir yaitu menghitung arus yang mengalir pada R2 dengan rumus seperti berikut:
I2 = R3 / (R2 + R3) x I
= 9 / (3 + 9) x 32/13
= 9 / 13 x 32/13
= 1,7 A
Jadi pada hambatan R2 terdapat arus listrik yang mengalir sebesar 1,7 A.
3. Besar masing masing resistor yang berjumlah 3 buah dalam rangkaian seri yaitu 4 Ω, 5 Ω dan 7 Ω. Kemudian terdapat sebuah baterai yang dihubungkan pada kedua ujungnya dengan besar GGL 6 Volt dan hambatan dalamnya 3/4 Ω. Hitunglah tegangan jepit pada rangkaian tersebut
Pembahasan.
Diketahui : R1 = 4 Ω; R2 = 5 Ω; R3 = 7 Ω; V = 6 V; R = 3/4 Ω
Ditanyakan : V jepit = ?
Jawab.
Contoh soal listrik dinamis kelas 12 ini dapat diselesaikan dengan langkah langkah seperti di bawah ini:
R total = R1 + R2 + R3 + R
= 4 + 5 + 7 + 3/4
= 16,75 Ω
I = V / R
= 6 / 16,75
= 0,35 A
V jepit = I x R jepit
= 0,35 x (4 + 5 + 7)
= 5,6 Volt
Jadi tegangan jepit pada rangkaian tersebut ialah 5,6 Volt.
4. Pemasangan tiga buah hambatan terjadi secara pararel dengan besar 8 Ω, 6 Ω dan 14 Ω, dimana terdapat tegangan listrik pula yang menghubungkannya. Tentukan perbandingan aliran arus listrik pada setiap hambatannya?
Pembahasan.
Diketahui : R1 = 8 Ω; R2 = 6 Ω; R3 = 14 Ω
Ditanyakan : Perbandingan arus = ?
Jawab.
Besar tegangan pada rangkaian pararel ini pada umumnya sama. Maka:
V1 = V2 = V3
I1 x 8 = I2 x 6 = I3 x 14
I1 : I2 : I3 = 8 : 6 : 14
= 4 : 3 : 7
Jadi perbandingan aliran arus listrik pada setiap hambatannya ialah 4 : 3 : 7.
5. Dalam sebuah kawat terdapat aliran arus sebesar 6 ampere dan beda potensial 18 Volt di setiap ujungnya. Hitunglah muatan setiap menit yang mengalir pada kawat?
Pembahasan.
Diketahui : I = 6 A; t = 60 s
Ditanyakan : Q = ?
Jawab.
Contoh soal listrik dinamis kelas 12 ini dapat diselesaikan dengan rumus di bawah ini:
I = Q / t
6 = Q / 60
Q = 6 x 60
= 360 Coulomb
Jadi muatan setiap menit yang mengalir pada kawat memiliki besar 360 Coulomb.


Tidak ada komentar:
Posting Komentar